引用本文
	 
		卢忠,许佳锐*,姚淑芳.我国医疗器械临床应用创新力指数研究初探[J].中国食品药品监管,2025(7):10-17.
	
		
	
我国医疗器械临床应用创新力指数研究初探
Preliminary Study on the Clinical Innovation Capability Index of Medical Devices in China
		
	
卢忠
中国药品监督管理研究会医疗器械监管研究专业委员会
LU Zhong
Special Committee for Medical Device Regulation, China Society for Drug Regulation
		
	
许佳锐*
新型生物材料与高端医疗器械广东研究院数据中心
XU Jia-rui*
Data Center, Guangdong Institute of Advanced Biomaterials and Medical Devices
		
	
姚淑芳
广州艾力彼医院管理中心
YAO Shu-fang
Guangzhou Asclepius Healthcare Accreditation Institute
		
	
摘 要 / Abstract
本文旨在对构建我国医疗器械临床应用创新力指数评价体系的方法学进行研究,为尝试系统评估我国医疗器械行业在临床端的创新能力与发展水平作初步探讨。研究引入加权逼近理想解排序法(TOPSIS)并结合德尔菲法确定指标权重,构建了涵盖多维指标的综合评价模型,进一步通过多渠道数据采集与处理,对我国医疗器械企业和产品的创新力量化评估进行探讨。结果显示,近年来我国医疗器械市场持续扩容、政策环境不断优化,但仍面临核心技术依赖、区域发展不平衡、成果转化效率低等问题。未来,随着政策、技术和资本等要素的协同推进,我国医疗器械产业有望在全球市场中发挥更大影响力。
		
	
This study aims to explore a preliminary methodological framework for constructing a Clinical Innovation Capability Index for China’s medical device industry, to enable a systematic assessment of domestic enterprises’ and products’ clinical innovation capacity and development level. The study adopts a comprehensive evaluation model based on the weighted TOPSIS method combined with Delphi-derived indicator weights. Using multi-source data collection and processing, the study quantitatively evaluates the innovation capability of China’s medical device enterprises and products. The results show that, while China’s medical device market has continued to expand and the policy environment has steadily improved in recent years, challenges remain in areas such as core technology dependence, regional development imbalances, and low commercialization efficiency. With further policy, technological, and low efficiency in the commercialization of research outcomes. With further policy, technological, and financial synergies, China’s medical device industry is poised to play a more significant role in the global market.
		
	
关 键 词 / Key words
医疗器械;临床应用;创新力;评价体系;逼近理想解排序法
		
	
medical devices; clinical application; innovation capability; evaluation system; technique for order preference by similarity to an ideal solution
		
	
		
	
01
背景与意义
医疗器械产业是我国重点支持的战略性新兴产业,近年来随着一系列支持政策陆续出台,我国医疗器械行业发展迅猛,市场规模持续扩大。2024 年我国医疗器械生产企业营业收入预计达1.35 万亿元,增速持续提升。其中,第二类医疗器械首次注册数量连续两年保持在1.4 万件左右,产品迭代加速,中高端产品呈现“量质齐升”态势[1]。以X 射线计算机体层摄影设备(computed tomography,CT)、磁共振成像设备(magnetic resonance imaging,MRI)、超声影像诊断设备(ultrasonography,US)等为代表的高端产品国产化步伐加快,带动市场不断扩容。
		
	
为推动医疗器械行业高质量发展,国家持续完善监管制度,相继发布一系列鼓励医疗器械创新发展的政策文件,有效激发了企业研发活力和市场竞争力。未来,将有更多的医疗器械企业将积极探索引入人工智能(artificial intelligence,AI)相关系统,从而实现降本增效。可以预见,在AI 辅助诊断、手术机器人、高端医学影像设备等部分关键细分领域的技术将会取得重要突破。
		
	
然而,医疗器械行业仍面临不少挑战,特别是在医疗器械临床应用创新力方面。例如,核心技术受制于人,部分高端医疗器械的核心部件仍依赖进口,制约了产业链自主可控能力;区域创新发展不平衡,长三角和珠三角等地区集中了大量创新资源,而中西部地区尚缺乏有效创新生态,发展落差较为明显;创新成果转化效率不足,研发未能紧密对接临床真实需求,导致从技术原型到市场化产品的转化周期长、效率低。为此,亟需构建一套科学、系统、可实施的医疗器械临床应用创新力指数评价体系,用于系统识别行业标杆、分析关键短板,为政府监管、企业发展、投资决策等多方提供参考依据,促进医疗器械产业的良性竞争与创新生态的构建。本文对构建我国医疗器械临床应用创新力指数评价体系的方法学进行研究,为尝试系统评估我国医疗器械行业在临床端的创新能力与发展水平作初步探讨。
02
方 法
2.1 研究模型选择
本研究采用逼近理想解排序法(technique for order preference by similarity to an ideal solution,TOPSIS ) 构建医疗器械临床应用创新力指数评价模型。TOPSIS 法又称为优劣解距离法, 是多指标决策分析中常用的一种有效方法。其核心思想是,通过计算各评价对象与最优解(optimal solution)和最劣解(negative ideal solution) 之间的距离,衡量各评价对象相对于理想解(ideal solution) 的接近程度,从而实现综合排序。
		
	
为提高评价的科学性与合理性,本文在传统TOPSIS 法基础上引入权重分配机制,采用加权TOPSIS 法进一步突出不同评价指标的重要性,从而提升模型在实际应用中的解释力与区分度[2-4]。
		
	
2.2 加权TOPSIS 法构建流程
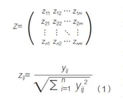
2.2.1 构建原始数据矩阵
设共n个评价对象、m个评价指标,针对评价对象原始数据( 表 1) 建立数据矩阵记为X。


i 为评价对象,j 为评价指标,xij 为第i个对象第j个指标的原始数据,其中i =1,2,…,n ;j=1,2,…,m。
		
	
2.2.2 指标同向化处理
对于“低优(指标值越小越优,如设备故障率)”或“适中最优(指标值适中最优)”的指标,需进行数据转换以保证所有指标方向一致,即均为“指标值越大表示越优”。经同向化处理后得到数据矩阵记为Y。

其中yij 为第i 个对象第j 个指标同向化后的数据。
		
	
2.2.3 归一化处理
为消除不同指标量纲的影响,需对同向化后的数据进行无量纲化处理,通常采用向量归一化法。归一化后的指标数据矩阵记为Z,其中zij按照公式(1)进行计算。

其中zij 为第i个对象第j个指标归一化后的数据。
		
	
2.2.4 确定正负理想解
针对每个指标, 从归一化后的指标数据矩阵中找出最大值和最小值, 分别构成最优目标及最劣目标。最优目标Z+= (z+1+,z+2+,…,z+m), 最劣目标Z-= ( z-1+,z-2 + , … , zm), 其中z+j =max ( z1j , z2j, … , znj) 与zj= min ( z1j, z2j, … , znj) 分别为矩阵中第j列的最大值和最小值。
		
	
2.2.5 计算距离指标
各评价对象与最优目标的距离为:

各评价对象与最劣目标的距离为:

其中φj为指标j的权重。
		
	
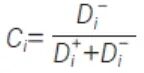
2.2.6 计算相对贴近度并排序
采用加权TOPSIS 指数用以衡量各评价对象与最优目标的相对贴近度,即:

其中i=1,2,…,n。显然Ci ∈ [0,1],其值越接近于1,表示该评价对象越接近最优水平。按Ci的大小对评价对象进行排序,Ci越大,排序的位置越靠前,表明该评价对象的综合结果越好。
		
	
2.3 指标权重的确定
评价指标权重在模型中起着重要作用, 其合理性直接影响最终评价结果的科学性与公正性。目前, 权重确定方法主要分为两类:一是主观赋权法,其原始数据主要由专家根据经验主观判断得到,如层次分析法、德尔菲法等。二是客观赋权法,基于原始数据的统计特征进行权重计算,如主成分分析法、熵值法、离差最大化法等,强调客观性但可能忽视实际场景。主观赋权法客观性较差,但解释性强;客观赋权法确定的权重通常精度较高,但有时会与实际情况相悖,而且所得结果有时难以给予明确解释[5]。
		
	
考虑到医疗器械创新评价涉及多维专业判断,且部分数据指标不易量化,本文选用德尔菲法开展主观赋权,综合多方专家意见,形成权重共识[6-8]。专家小组由临床专家牵头,主要由来自国际组织、公共服务平台及企业的相关代表、临床医生、科研院所学术带头人等组成,覆盖医疗器械研发、应用、监管等多个关键领域。专家组通过两轮匿名问卷评分和反馈汇总,最终确定各指标权重,保证评价体系的科学性与实用性。
03
指标体系
医疗器械临床应用创新力是一个多维度、综合性的概念,其系统性评估需建立在科学、系统、可操作指标体系的基础之上。由于各类指标间可能存在信息重叠或相关性较强的问题,构建指标体系时应注重代表性和区分度,避免冗余和重复。本研究构建指标体系时,充分考虑了科学性、可获得性、准确性和可持续性四大核心原则。科学性要求所选指标应能够科学合理地反映被评估对象在临床应用创新方面的核心特征,真正体现评价目标;可获得性强调指标数据必须具备现实可行的采集方式和渠道,避免因数据缺失或难以收集而影响评估体系的落地;准确性要求指标所涉及的数据应真实、可靠、可验证,能够客观反映医疗器械的实际临床表现与市场表现;可持续性则要求所选指标的数据应具有连续性,支持长期采集和动态更新,从而为趋势分析和纵向比较提供基础支撑。
		
	
医疗器械,是指直接或者间接用于人体的仪器、设备、器具、体外诊断试剂及校准物、材料以及其他类似或者相关的物品,包括所需要的计算机软件。其临床应用旨在达到对疾病的预防、诊断、治疗、监护、康复,对损伤或残疾的诊断、治疗、监护、缓解等[9]。本研究中医疗器械覆盖范围更广泛, 包括医疗仪器设备(medical equipment and device,MED)、体外诊断设备(in vitro diagnostic,IVD)、医用耗材(medical consumables,MC)3 类产品。其中MED 中包括CT、MRI、US、X 射线成像设备(X-ray,XR)、数字减影血管造影设备(digital subtraction angiography,DSA)、核医学影像设备、放疗类设备、监护类设备、呼吸类设备、内窥镜类设备、血液净化设备、麻醉类设备、医用激光类设备、病理类设备等。IVD 中包括生化分析仪、化学发光分析仪、血凝分析仪、三大常规(血常规、尿常规、便常规)检查设备、分子诊断设备、微生物设备、即时检验(point-of-caretesting,POCT)设备等。MC 中包括非血管介入治疗类材料,血管介入治疗类材料,骨科材料,神经外科材料,心脏外科类材料,人工器官、组织及配套材料,口腔材料,眼科材料,体外循环材料,血液净化材料,吻合器及附件,修补材料,中医类材料,基础卫生材料,止血防粘连材料,注射穿刺类材料,功能性敷料等。
		
	
通用指标体系包含品牌竞争力、临床价值、技术创新力与持续发展4 个一级指标。结合MED、IVD、MC 等医疗器械特性,二级指标设置通用指标和专用指标。三个类别的产品评价指标均由通用指标和专用指标组成。MED 覆盖34 个二级指标,IVD覆盖34 个二级指标,MC 覆盖33 个二级指标(表2)。



04
数据收集与处理
4.1 数据来源渠道
本研究根据所构建的医疗器械临床应用创新力评价指标体系,从多个渠道收集相关数据,并且对数据进行清洗、核查、校验,确保数据的准确性和科学性。
		
	
4.1.1 企业年报
医疗器械企业年报通常包含企业研发投入金额、研发投入占比、专利申请数量、新产品上市数量、临床注册进展等核心信息。例如,上市公司通常会在其年报中披露研发投入金额和占比、研发人员数量、创新产品所占收入比例等,有助于量化企业的研发资源配置与产出效率。
		
	
4.1.2 政府和监管部门的公开数据
为确保数据的科学性、完整性、综合性和可比性,本研究采用多维数据来源。医疗器械生产企业需提交年度体系自查报告,可以写主动申报, 本研究主要参考政府和监管部门的公开数据,包括国家药品监督管理局发布的医疗器械注册备案数据、生产企业数据、产品召回数据, 国家知识产权局的专利公开信息,以及各地卫生健康委员会、医疗保障局和统计局公开的医院数量、床位数、手术量等宏观临床使用基础数据。这些数据有助于评估医疗器械的应用场景和市场普及度。
		
	
4.1.3 学术文献研究
通过查阅和梳理国内外学术文献,获取具体产品在临床应用中的有效性、安全性与便捷性评价结果,如治疗成功率、术中并发症发生率、操作复杂度、患者依从性等指标,为临床价值类指标提供实证支撑。
		
	
4.1.4 专家调研与访谈
组织医疗器械监管、研发、使用等不同领域的专家参与问卷调查或访谈,补充主观评价性指标,包括医务人员对产品的使用便捷性评价、产品在实际临床路径中的整合度等,形成对定性维度的深入理解。
		
	
4.2 数据处理流程
为保证最终评价结果的科学性与可比性,本研究遵循统一的数据处理规范。
		
	
4.2.1 数据清洗与缺失值处理
在初步数据整理阶段,剔除重复记录、逻辑冲突或缺乏可信来源的数据。对于不完整的数据,依据数据特性采取均值填补、趋势外推或删除缺失行等方法处理。例如,某企业若缺失单一年份的研发投入占比,可结合其近邻年份趋势与行业均值进行推估。
		
	
4.2.2 数据标准化与归一化
不同指标单位与数量级存在差异(如亿元与百分比、件数与比例等),需统一转换为无量纲标准化数据。采用极差标准化、标准分数(Z-score)或向量归一化方式,以消除数值尺度影响,确保各指标在计算中的相对可比性。
		
	
4.2.3 多源数据交叉验证与一致性校验
将企业自报数据与第三方统计数据、监管机构数据进行比对,发现疑似偏离值时进一步核实。例如,企业年报中宣称的新产品数量需与国家药品监督管理局数据库中注册及备案产品数一致,如不一致应进一步查明差异原因,防止因数据标准或口径不一致影响评估结果。
		
	
4.2.4 权重分配与加权处理
根据前期确定的指标体系和专家打分结果, 利用加权TOPSIS 法进行综合评价。该方法先构造决策矩阵,进行标准化与加权后,再计算各评价对象与理想解的距离,输出相对贴近度,作为创新力得分。加权TOPSIS法能综合考虑各指标的方向性与权重分布,避免偏重单一指标。
		
	
4.2.5 结果校验与灵敏度分析
需要对TOPSIS 计算结果进行二次回检,分析各指标对结果排序的敏感性,必要时调整权重或剔除低可信度样本,保障最终输出指数的稳健性。例如,在发现某项指标对整体排序变动较大时,将组织专家研判该指标的合理性及其对结果的反映程度,并据此对指标及其赋值进行修正与完善。
05
分析与讨论
基于数据处理与综合评价结果,可通过构建的医疗器械企业临床应用创新力指数,从多个维度展开深入分析,以揭示当前行业发展态势和问题。
		
	
5.1 整体创新力水平分析
统计各企业综合得分的均值、中位数、极差、标准差等,分析整体创新力分布。若平均得分高但标准差较大,说明行业内存在创新力“强者恒强”的分化现象;若大部分企业得分集中,表明行业基础较稳但头部优势尚未形成。通过趋势对比近年得分情况,还可观察整体行业是否处于创新上升期或停滞期。
		
	
5.2 企业间创新力差异分析
从头部企业到尾部企业的得分曲线中识别关键节点,分析典型企业的突出表现维度,如有的企业在专利数量上领先,有的则在临床反馈方面得分优异。这一分析能为政府精准制定扶持政策、引导资源流动提供参考,也能为企业发现短板、进行战略调整提供依据。
		
	
5.3 区域创新力差异分析
以医疗器械生产企业注册(备案)地为基础,按地区分类计算平均得分和企业分布情况。例如,假设东部沿海地区企业占比超过70%,且平均得分高于中西部地区10 分以上,说明区域资源配置、人才聚集度与监管环境对企业创新行为产生显著影响。同时,中西部若存在个别高分企业,可作为“弯道超车”的标杆样本进行深入研究与复制推广。
		
	
5.4 行业发展趋势分析
通过时间维度的连续追踪,观察企业在连续年份中的得分变化。例如,某企业在3 年内研发投入占比持续提升、新产品频繁上市,其创新轨迹可作为“进取型企业”样本分析。同时还需关注重点技术方向的涌现情况,如AI 辅助诊断设备、微创介入手术设备、生物可吸收材料等在指数的占比变化,预测未来细分领域创新热点,辅助战略布局。
		
	
5.5 评价指标体系的适用性与优化
在实际应用中,通过结果与现实表现的对比(如市场实际占有率、用户满意度等),可对指标体系的科学性进行检验。例如,若某些评分偏高但企业在实际临床中应用面窄,可能意味着当前指标对市场接受度考虑不足,需持续优化指标体系,包括调整权重或引入新指标等。
06
结论与展望
我国医疗器械行业正处于快速发展与转型升级的关键时期,临床需求驱动下的技术创新不断加快,推动着医疗器械产品的迭代更新与性能优化。与此同时,行业仍面临核心技术“卡脖子”、区域发展不平衡、创新成果转化效率低等问题。研究构建科学、系统的医疗器械临床应用创新力评价体系,是助力解决上述问题、实现行业高质量发展的量化评价路径之一。
		
	
本研究尝试通过基于文献分析、专家访谈和数据实证分析,构建以品牌竞争力、临床价值、技术创新力、持续发展四大维度为核心的评价指标体系,并通过加权TOPSIS 法实现了对医疗器械企业临床应用创新力的综合评价。该体系具备一定的科学性、系统性与实用性,可为政府监管、企业发展、投资决策等多方提供参考依据,促进医疗器械产业的良性竞争与创新生态的构建。
		
	
基于本研究对方法学的初步探索成果,未来还将进一步研究建立指标体系的动态更新机制,根据医疗器械行业的发展趋势和技术进步,拓展数据采集维度与技术手段,完善算法模型与分析方法,强化评估结果的场景化应用,为实现医疗器械产业转型升级、构建高水平创新体系提供量化评价方面参考。
		
	
第一作者简介
卢忠,研究生,中国药品监督管理研究会医疗器械监管研究专业委员会副主任委员,高级工程师。专业方向:医疗器械监管及产业经济研究
通讯作者简介
许佳锐,硕士,新型生物材料与高端医疗器械广东研究院数据中心主任。专业方向:医疗器械数据应用与智慧监管
	
	
	
来源:中国食品药品监管杂志
关注我们的微信公众号
获得更多资讯

 
             京公网安备 11010502031898号
 京公网安备 11010502031898号

